






anomalytics is a Python library that aims to implement all statistical methods for the purpose of detecting any sort of anomaly e.g. extreme events, high or low anomalies, etc. This library utilises external dependencies such as:
- Pandas 2.1.1
- NumPy 1.26.0
- SciPy 1.11.3
- Matplotlib 3.8.2
- Pytest-Cov 4.1.0.
- Black 23.10.0
- Isort 5.12.0
- MyPy 1.6.1
- Bandit 1.7.5
anomalytics supports the following Python’s versions: 3.10.x, 3.11.x, 3.12.0.
To use the library, you can install as follow:
# Install without openpyxl
$ pip3 install anomalytics
# Install with openpyxl
$ pip3 install "anomalytics[extra]"As a contributor/collaborator, you may want to consider installing all external dependencies for development purposes:
# Install bandit, black, isort, mypy, openpyxl, pre-commit, and pytest-cov
$ pip3 install "anomalytics[codequality,docs,security,testcov,extra]"anomalytics can be used to analyze anomalies in your dataset (both as pandas.DataFrame or pandas.Series). To start, let’s follow along with this minimum example where we want to detect extremely high anomalies in our dataset.
Read the walkthrough below, or the concrete examples here:
-
Import
anomalyticsand initialise our time series of 100_002 rows:import anomalytics as atics df = atics.read_ts("./ad_impressions.csv", "csv") df.head()
datetime xandr gam adobe 0 2023-10-18 09:01:00 52.483571 71.021131 35.681915 1 2023-10-18 09:02:00 49.308678 73.651996 60.347246 2 2023-10-18 09:03:00 53.238443 65.690813 48.120805 3 2023-10-18 09:04:00 57.615149 80.944393 59.550775 4 2023-10-18 09:05:00 48.829233 76.445099 26.710413
-
Initialize the needed detector object. Each detector utilises a different statistical method for detecting anomalies. In this example, we’ll use POT method and a high anomaly type. Pay attention to the time period that is directly created where the
t2is 1 by default because “real-time” always targets the “now” period hence 1 (sec, min, hour, day, week, month, etc.):pot_detector = atics.get_detector(method="POT", dataset=ts, anomaly_type="high") print(f"T0: {pot_detector.t0}") print(f"T1: {pot_detector.t1}") print(f"T2: {pot_detector.t2}") pot_detector.plot(ptype="line-dataset-df", title=f"Page Impressions Dataset", xlabel="Minute", ylabel="Impressions", alpha=1.0)
T0: 42705 T1: 16425 T2: 6570
-
The purpose of using the detector object instead the standalone is to have a simple fix detection flow. In case you want to customize the time window, we can call the
reset_time_window()to resett2value, even though that will beat the purpose of using a detector object. Pay attention to the period parameters because the method expects a percentage representation of the distribution of period (ranging 0.0 to 1.0):pot_detector.reset_time_window( "historical", t0_pct=0.65, t1_pct=0.25, t2_pct=0.1 ) print(f"T0: {pot_detector.t0}") print(f"T1: {pot_detector.t1}") print(f"T2: {pot_detector.t2}") pot_detector.plot(ptype="hist-dataset-df", title="Dataset Distributions", xlabel="Distributions", ylabel="Page Impressions", alpha=1.0, bins=100)
T0: 65001 T1: 25001 T2: 10000
-
Now, we can extract exceedances by giving the expected
quantile:pot_detector.get_extremes(0.95) pot_detector.exeedance_thresholds.head()
xandr gam adobe datetime 0 58.224653 85.177029 60.362306 2023-10-18 09:01:00 1 58.224653 85.177029 60.362306 2023-10-18 09:02:00 2 58.224653 85.177029 60.362306 2023-10-18 09:03:00 3 58.224653 85.177029 60.362306 2023-10-18 09:04:00 4 58.224653 85.177029 60.362306 2023-10-18 09:05:00
-
Let’s visualize the exceedances and its threshold to have a clearer understanding of our dataset:
pot_detector.plot(ptype="line-exceedance-df", title="Peaks Over Threshold", xlabel="Minute", ylabel="Page Impressions", alpha=1.0)
-
Now that we have the exceedances, we can fit our data into the chosen distribution, in this example the “Generalized Pareto Distribution”. The first couple rows will be zeroes which is normal because we only fit data that are greater than zero into the wanted distribution:
pot_detector.fit() pot_detector.fit_result.head()
xandr_anomaly_score gam_anomaly_score adobe_anomaly_score total_anomaly_score datetime 0 1.087147 0.000000 0.000000 1.087147 2023-11-17 00:46:00 1 0.000000 0.000000 0.000000 0.000000 2023-11-17 00:47:00 2 0.000000 0.000000 0.000000 0.000000 2023-11-17 00:48:00 3 0.000000 1.815875 0.000000 1.815875 2023-11-17 00:49:00 4 0.000000 0.000000 0.000000 0.000000 2023-11-17 00:50:00 ...
-
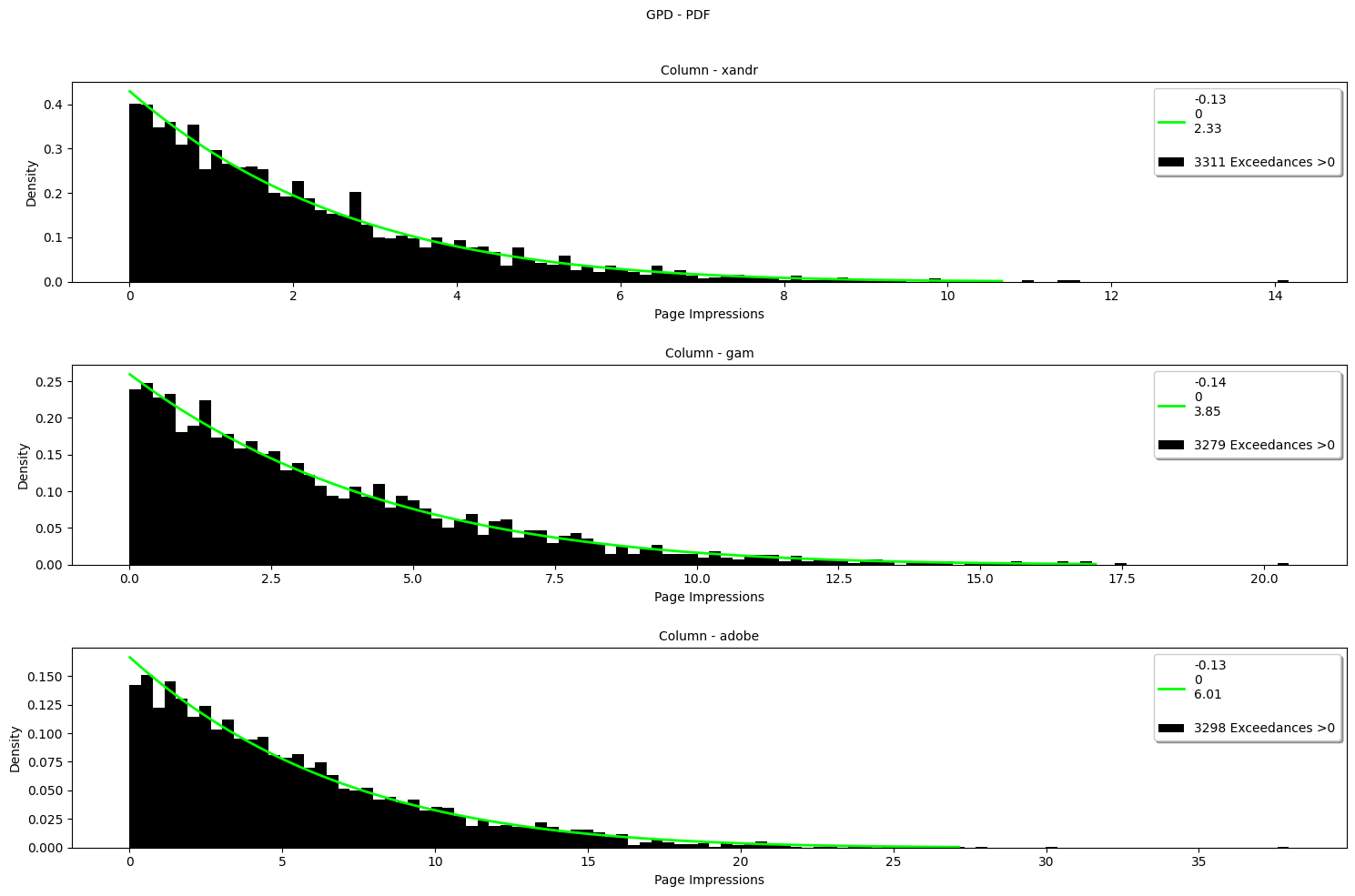
Let’s inspect the GPD distributions to get the intuition of our pareto distribution:
pot_detector.plot(ptype="hist-gpd-df", title="GPD - PDF", xlabel="Page Impressions", ylabel="Density", alpha=1.0, bins=100)
-
The parameters are stored inside the detector class:
pot_detector.params
{0: {'xandr': {'c': -0.11675297447288158, 'loc': 0, 'scale': 2.3129766056305603, 'p_value': 0.9198385927065513, 'anomaly_score': 1.0871472537998}, 'gam': {'c': 0.0, 'loc': 0.0, 'scale': 0.0, 'p_value': 0.0, 'anomaly_score': 0.0}, 'adobe': {'c': 0.0, 'loc': 0.0, 'scale': 0.0, 'p_value': 0.0, 'anomaly_score': 0.0}, 'total_anomaly_score': 1.0871472537998}, 1: {'xandr': {'c': 0.0, 'loc': 0.0, 'scale': 0.0, 'p_value': 0.0, 'anomaly_score': 0.0}, 'gam': {'c': 0.0, 'loc': 0.0, 'scale': 0.0, 'p_value': 0.0, ... 'scale': 0.0, 'p_value': 0.0, 'anomaly_score': 0.0}, 'total_anomaly_score': 0.0}, ...} -
Last but not least, we can now detect the extremely large (high) anomalies:
pot_detector.detect(0.95) pot_detector.detection_result
16425 False 16426 False 16427 False 16428 False 16429 False ... 22990 False 22991 False 22992 False 22993 False 22994 False Name: detected data, Length: 6570, dtype: bool -
Now we can visualize the anomaly scores from the fitting with the anomaly threshold to get the sense of the extremely large values:
pot_detector.plot(ptype="line-anomaly-score-df", title="Anomaly Score", xlabel="Minute", ylabel="Page Impressions", alpha=1.0)
-
Now what? Well, while the detection process seems quite straight forward, in most cases getting the details of each anomalous data is quite tidious! That’s why
anomalyticsprovides a comfortable method to get the summary of the detection so we can see when, in which row, and how the actual anomalous data look like:pot_detector.detection_summary.head(5)
row xandr gam adobe xandr_anomaly_score gam_anomaly_score adobe_anomaly_score total_anomaly_score anomaly_threshold 2023-11-28 12:06:00 59225 64.117135 76.425925 47.772929 21.445759 0.000000 0.000000 21.445759 19.689885 2023-11-28 12:25:00 59244 40.513415 94.526021 65.921644 0.000000 19.557962 2.685337 22.243299 19.689885 2023-11-28 12:45:00 59264 52.362039 54.191719 79.972860 0.000000 0.000000 72.313273 72.313273 19.689885 2023-11-28 16:48:00 59507 64.753203 70.344142 42.540168 32.543021 0.000000 0.000000 32.543021 19.689885 2023-11-28 16:53:00 59512 35.912221 52.572939 75.621003 0.000000 0.000000 22.199505 22.199505 19.689885
-
In every good analysis there is a test! We can evaluate our analysis result with “Kolmogorov Smirnov” 1 sample test to see how far the statistical distance between the observed sample distributions to the theoretical distributions via the fitting parameters (the smaller the
stats_distancethe better!):pot_detector.evaluate(method="ks") pot_detector.evaluation_result
column total_nonzero_exceedances stats_distance p_value c loc scale 0 xandr 3311 0.012901 0.635246 -0.128561 0 2.329005 1 gam 3279 0.011006 0.817674 -0.140479 0 3.852574 2 adobe 3298 0.019479 0.161510 -0.133019 0 6.007833
-
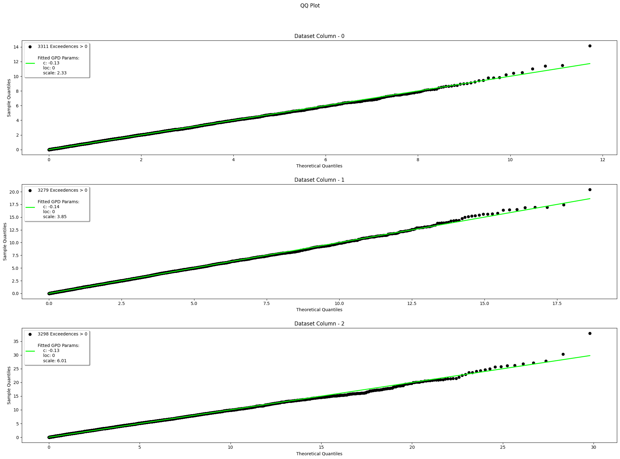
If 1 test is not enough for evaluation, we can also visually test our analysis result with “Quantile-Quantile Plot” method to observed the sample quantile vs. the theoretical quantile:
# Use the last non-zero parameters pot_detector.evaluate(method="qq") # Use a random non-zero parameters pot_detector.evaluate(method="qq", is_random=True)
You have a project that only needs to be fitted? To be detected? Don’t worry! anomalytics also provides standalone functions as well in case users want to start the anomaly analysis from a different starting points. It is more flexible, but many processing needs to be done by you. LEt’s take an example with a different dataset, thistime the water level Time Series!
-
Import
anomalyticsand initialise your time series:import anomalytics as atics ts = atics.read_ts( "water_level.csv", "csv" ) ts.head()
2008-11-03 06:00:00 0.219 2008-11-03 07:00:00 -0.041 2008-11-03 08:00:00 -0.282 2008-11-03 09:00:00 -0.368 2008-11-03 10:00:00 -0.400 Name: Water Level, dtype: float64
-
Set the time windows of t0, t1, and t2 to compute dynamic expanding period for calculating the threshold via quantile:
t0, t1, t2 = atics.set_time_window( total_rows=ts.shape[0], method="POT", analysis_type="historical", t0_pct=0.65, t1_pct=0.25, t2_pct=0.1 ) print(f"T0: {t0}") print(f"T1: {t1}") print(f"T2: {t2}")
T0: 65001 T1: 25001 T2: 10000
-
Extract exceedances and indicate that it is a
"high"anomaly type and what’s thequantile:pot_thresholds = get_threshold_peaks_over_threshold(dataset=ts, t0=t0, "high", q=0.90) pot_exceedances = atics.get_exceedance_peaks_over_threshold( dataset=ts, threshold_dataset=pot_thresholds, anomaly_type="high" ) exceedances.head()
2008-11-03 06:00:00 0.859 2008-11-03 07:00:00 0.859 2008-11-03 08:00:00 0.859 2008-11-03 09:00:00 0.859 2008-11-03 10:00:00 0.859 Name: Water Level, dtype: float64
-
Compute the anomaly scores for each exceedance and initialize a params for further analysis and evaluation:
params = {} anomaly_scores = atics.get_anomaly_score( exceedance_dataset=pot_exceedances, t0=t0, gpd_params=params ) anomaly_scores.head()
2016-04-03 15:00:00 0.0 2016-04-03 16:00:00 0.0 2016-04-03 17:00:00 0.0 2016-04-03 18:00:00 0.0 2016-04-03 19:00:00 0.0 Name: anomaly scores, dtype: float64 ...
-
Inspect the parameters:
params{0: {'index': Timestamp('2016-04-03 15:00:00'), 'c': 0.0, 'loc': 0.0, 'scale': 0.0, 'p_value': 0.0, 'anomaly_score': 0.0}, 1: {'index': Timestamp('2016-04-03 16:00:00'), ... 'c': 0.0, 'loc': 0.0, 'scale': 0.0, 'p_value': 0.0, 'anomaly_score': 0.0}, ...} -
Detect anomalies:
anomaly_threshold = get_anomaly_threshold( anomaly_score_dataset=anomaly_scores, t1=t1, q=0.90 ) detection_result = get_anomaly( anomaly_score_dataset=anomaly_scores, threshold=anomaly_threshold, t1=t1 ) detection_result.head()
2020-03-31 19:00:00 False 2020-03-31 20:00:00 False 2020-03-31 21:00:00 False 2020-03-31 22:00:00 False 2020-03-31 23:00:00 False Name: anomalies, dtype: bool
-
For the test, kolmogorov-smirnov and qq plot are also accessible via standalone functions, but the params need to be processed so it only contains a non-zero parameters since there are no reasons to calculate a zero 😂
nonzero_params = [] for row in range(0, t1 + t2): if ( params[row]["c"] != 0 or params[row]["loc"] != 0 or params[row]["scale"] != 0 ): nonzero_params.append(params[row]) ks_result = atics.evals.ks_1sample( dataset=pot_exceedances, stats_method="POT", fit_params=nonzero_params ) ks_result
{'total_nonzero_exceedances': [5028], 'stats_distance': [0.0284] 'p_value': [0.8987], 'c': [0.003566], 'loc': [0], 'scale': [0.140657]} -
Visualize via qq plot:
nonzero_exceedances = exceedances[exceedances.values > 0] visualize_qq_plot( dataset=nonzero_exceedances, stats_method="POT", fit_params=nonzero_params, )
We have anomaly you said? Don’t worry, anomalytics has the implementation to send an alert via E-Mail or Slack. Just ensure that you have your email password or Slack webhook ready. This example shows both application (please read the comments 😎):
-
Initialize the wanted platform:
# Gmail gmail = atics.get_notification( platform="email", sender_address="my-cool-email@gmail.com", password="AIUEA13", recipient_addresses=["my-recipient-1@gmail.com", "my-recipient-2@web.de"], smtp_host="smtp.gmail.com", smtp_port=876, ) # Slack slack = atics.get_notification( platform="slack", webhook_url="https://slack.com/my-slack/YOUR/SLACK/WEBHOOK", ) print(gmail) print(slack)
'Email Notification' 'Slack Notification'
-
Prepare the data for the notification! If you use standalone, you need to process the
detection_resultto become a DataFrame withrow, “# Standalone detected_anomalies = detection_result[detection_result.values == True] anomalous_data = ts[detected_anomalies.index] standalone_detection_summary = pd.DataFrame( index=anomalous.index.flatten(), data=dict( row=[ts.index.get_loc(index) + 1 for index in anomalous.index], anomalous_data=[data for data in anomalous.values], anomaly_score=[score for score in anomaly_score[anomalous.index].values], anomaly_threshold=[anomaly_threshold] * anomalous.shape[0], ) ) # Detector Instance detector_detection_summary = pot_detector.detection_summary
-
Prepare the notification payload and a custome message if needed:
# Email gmail.setup( detection_summary=detection_summary, message="Extremely large anomaly detected! From Ad Impressions Dataset!" ) # Slack slack.setup( detection_summary=detection_summary, message="Extremely large anomaly detected! From Ad Impressions Dataset!" )
-
Send your notification! Beware that the scheduling is not implemented since it always depends on the logic of the use case:
# Email gmail.send # Slack slack.send
'Notification sent successfully.' -
Check your email or slack, this example produces the following notification via Slack:
-
Nakamura, C. (2021, July 13). On Choice of Hyper-parameter in Extreme Value Theory Based on Machine Learning Techniques. arXiv:2107.06074 [cs.LG]. https://doi.org/10.48550/arXiv.2107.06074
-
Davis, N., Raina, G., & Jagannathan, K. (2019). LSTM-Based Anomaly Detection: Detection Rules from Extreme Value Theory. In Proceedings of the EPIA Conference on Artificial Intelligence 2019. https://doi.org/10.48550/arXiv.1909.06041
-
Arian, H., Poorvasei, H., Sharifi, A., & Zamani, S. (2020, November 13). The Uncertain Shape of Grey Swans: Extreme Value Theory with Uncertain Threshold. arXiv:2011.06693v1 [econ.GN]. https://doi.org/10.48550/arXiv.2011.06693
-
Yiannis Kalliantzis. (n.d.). Detect Outliers: Expert Outlier Detection and Insights. Retrieved [23-12-04T15:10:12.000Z], from https://detectoutliers.com/
I am deeply grateful to have met and guided by wonderful people who inspired me to finish my capstone project for my study at CODE university of applied sciences in Berlin (2023). Thank you so much for being you!
- Sabrina Lindenberg
- Adam Roe
- Alessandro Dolci
- Christian Leschinski
- Johanna Kokocinski
- Peter Krauß






















